Cite this as
Lucas J, Logeux V, Rodrigues AM, Stien D, Lebaron P (2020) Trophic contamination by octocrylene does not affect aerobic metabolic scope in juveniles clownfish. Ann Environ Sci Toxicol 4(1): 050-054. DOI: 10.17352/aest.000026The effect of trophic exposure to Octocrylene (OC) on aerobic metabolism of clownfish Amphiprion ocellaris was investigated. There were no significant differences in Standard Metabolic Rate (SMR), Active Metabolic Rate (AMR) or aerobic metabolic scope (AS) at the concentration of 10 µg/g of octocrylene in diet of juvenile’s clownfish whatever the time of exposure. This suggests that under these experimental conditions, exposure to OC in food at a concentration of 10 µg/g did not influence aerobic metabolism of this species.
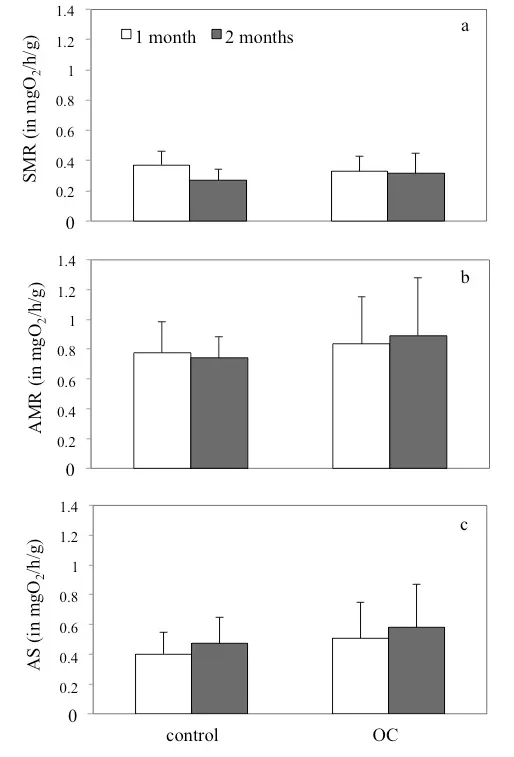
UV: Ultra Violet; OC: Octocrylene; AS: Aerobic Metabolic Scope; AMR: Active Metabolic Rate; SMR: Standard Metabolic Rate; MO2: Oxygen consumption
Over the last decade, public interest in UV filters has increased because of their potential ecological risk and due to their occurrence and persistence in aquatic ecosystems [1,2]. Sixty different organic UV filters are used on the world market [3] and among them, octocrylene (OC, CAS no. 6197-30-4) is one of the most frequently used and detected in the environment. Due to his absorption of UVB and short UVA radiations, it is used in various cosmetics including sunscreens to provide protection from UV radiations [4-6]. OC is introduced into the aquatic environment indirectly from wastewater treatment plants or directly during human aquatic recreational activities [7,8].
OC is found in various environmental compartments including surface water, wastewater, living organisms, and sediment. Its concentration can reach 7 µg/L in the water column [2,9-11]. In sediments, OC concentration can reach 400 ng/g dw [2,12].
The widespread occurrence of OC in the environment has led to its frequent detection in biota. Due to its lipophilic properties and stability, OC tend to accumulate in aquatic organism [5,10,13-18]. The wide distribution of OC is all the more disturbing since it has recently been shown that it could be transformed and accumulated in forms that are more difficult to detect and quantify [19]. So far, little information is available on the toxic effects of OC to aquatic species. Recent studies on coral have demonstrated that OC disrupt mitochondrial metabolism, polyp retraction or decrease photosynthetic efficiency [19,20]. OC exposure could also impair growth of algae and sea urchin embryos [21]. On fish, OC exhibits developmental and reproductive toxicity and acts as endocrine disruptor [14,22,23].
In this study we examined the response of fish exposed to OC through the assessment of aerobic metabolic scope (AS) as an indicator of the physiological state of the organism [24]. The AS represents the capacity of an organism to provide oxygen to sustain energy-demanding activities (locomotion, digestion and feeding) is therefore an optimal measurable fitness proxy [24]. The AS is defined as the difference between Active Metabolic Rate (AMR), which is the highest metabolic rate the organism can sustain, usually during maximal activity, and the Standard Metabolic Rate (SMR), the metabolic rate necessary to maintain vital functions and measured under resting conditions at a known ambient temperature [24-26]. AS is known to be modulated by pollutants [29-33]. The main hypotheses were that chronic exposure to OC may affect AS by (i) activating costly repair and detoxification pathways thus increasing SMR [34], (ii) impairing organs or mechanism involved in oxygen transport which would decrease AMR. Clown fish (Amphiprion ocellaris, Cuvier 1930) was chosen as marine biological model and coral reef species of interest.
Clownfish (Amphiprion ocellaris) were obtained from several breeding pairs housed in our laboratory. After 15 days of larval development (green seawater method), juveniles were reared in the same 60 L tank in our supply rearing facility, in artificial sea water (RedSeaSalt) at a salinity of 34 ‰. Water was kept at 28 °C with a 12:12-hour light: Dark photoperiod.
Ammonia, nitrites, and nitrates were monitored weekly and remained within recommended ranges. Juveniles were fed twice a day (i) in the morning with fresh chopped food mix composed of mussels, shrimp, squid, nori algae and vitamins, (ii) in the afternoon with Artemia sp. nauplii.
At the age of 5 months, two groups of 20 fishes were transferred for two months in two 60L tanks (closed-system aquariums filled with artificial sea water maintained at 28°C).
Artificial dry food was spiked with OC at a target concentration of 10 µg/g dw of food based on environmental concentrations find in literature. A control treatment was also included and consisted of feeding a group of fishes with uncontaminated food, only impregnated by the solvent dichloromethane. This solvent was used to improve UV incorporation into the food, and then removed by evaporation. Trophic contamination was conducted during 2 months by feeding juvenile clownfishes twice a day. The ration of food was 2 % of the biomass in each tank in order to maintain constant growth.
Experimental set-up: To assess the fish aerobic metabolic rate, six identical circular size-adapted respirometers (diameter: 3.75 cm, volume: 0.061 L) were employed. These were immersed in two buffer tanks (depth × length × height: 25×80×40 cm) filled with temperature-controlled and aerated water. Oxygen consumption was measured by intermittent-flow respirometry [35], where the water supply in each respirometer was provided by flush pumps controlled by a timer. This system alternated phases of flushing and oxygen renewal with phases of measurement of oxygen consumption (MO2), each of which lasted 30 min. Finally, a multichannel peristaltic pump was installed to create continuous water flow and ensure water mixing inside each of the chambers. Each respirometer was equipped with an optic fiber sensor (PreSens; Germany, www.presens.com) connected to an analyzer (Witrox 4, PreSens) to record dissolved oxygen levels. Optic fibers were calibrated at 0 and 100 % air saturation at a temperature of 28 °C. A factor of conversion based on oxygen solubility into water was used to convert oxygen data from percentage saturation to mgO2.L-1 (100 % was equivalent to 6.48 mgO2.L−1 for a temperature of 28 °C and a salinity of 34 ‰). Oxygen level was recorded every 5 s with the program Witroxview (PreSens).
Experimental protocol: Respirometry experiments occurred at one month and two months of exposure. Before each experiment, fishes were starved for 24 h. For each trial, six fishes (three per treatment) were tested individually. One fish was place in one respirometer and the test was composed of two consecutive phases. First, to increase fish metabolism and assess AMR, each fish was transferred and chased with a stick in a 1 L tank [36-39]. When the fish was exhausted, it was transferred into a respirometer. The oxygen consumption of the fish was immediately recorded for 30 min to calculate AMR. For each fish, this process was repeated a second time during 30 min to confirm the accuracy of the AMR assessment. The second step consisted of a resting period of 48 h to reach and estimate SMR. During this period, fish were let undisturbed and MO2 was regularly and automatically measured (30 MO2 measurement:30 min water renewal). Before and after each trial, a blank measurement was performed to quantify microbial oxygen consumption in the respirometer. A linear change in background MO2 over the 48 h experimental trial was assumed and subtracted the expected value from the corresponding total MO2 measured. From these oxygen measurements, SMR was estimated according to the method described by Steffensen, et al. [40] and Chabot, et al. [41]. Briefly, SMR were calculated from frequency distribution of MO2 recorded during the last 24 h of the test. This generally produces a bimodal frequency distribution due to the routine activity of the fish. Two normal curves were fit to the frequency histogram to separate the lower SMR distribution of MO2 from the higher MO2 values owing to spontaneous activity. The mean of the lower distribution was considered to be the SMR for that individual. During all the experiments, oxygen concentration was never lower than 75 % oxygen saturation in each respirometer. After the 48 h, the fish was removed from the respirometer and euthanized using MS-222 (400 mg.L−1, Sigma-Aldrich). The body mass (Mmeas) of each individual was measured and fish were dissected in order to sample liver and white muscle for OC and OC metabolites analyses.
Oxygen consumption MO2 is expressed in mg O2.g−1.h−1 and calculated using the following formula:
MO2meas = Δ[O2].Δt−1.V.Mmeas−1 Equation (1)
where Δ[O2] (in mgO2.L−1) is the variation in oxygen concentration during the measurement period Δt (in h), V (in L) is the volume of the respirometer minus the volume of the fish and Mmeas (in g) is the mass of the fish.
An allometric relationship exists between oxygen consumption and body mass, which encourages correction of MO2meas using the following formula:
MO2cor = MO2meas.(Mmeas.Mcor−1)1−b Equation (2)
where MO2cor (in mgO2.g−1.h−1) is the oxygen consumption related to a standard fish of 1 g (Mcor), MO2meas (in mgO2.g−1.h−1) is the oxygen consumption estimated with eq. 1 for experimental fish the mass of which was Mmeas (in g) and b is the allometric scaling exponent describing the relationship between oxygen consumption and the mass of fish.
The statistical analysis was carried out using GraphPad Prism software. For all analyses, the normality and homoscedasticity were checked through the Shapiro and Barlett tests, respectively. These conditions, necessary to apply parametric tests, were respected. ANOVA was therefore used to determine significant differences due to the treatment and the time of exposure. If necessary, a Tukey post hoc test was applied to determine which treatments differed significantly from the control. The differences were considered significant when p < 0.05.
The fish muscle or liver were weighted and placed into a 2 mL Eppendorff tube containing microbeads. Dichloromethane (0.5 mL) was added and the tube was homogenous for 4 min in FastPrep homogenizer instrument (MP BiomedicalsTM). The tubes were centrifuged and the supernatant transferred into a HPLC vial for analysis. The UHPLC-MS2 analysis was performed as described before in our group [19,42]. OC was not detected in the analyses (no significant difference between treated and untreated fishes). This was confirmed by comparison of the pic area from extracted ion chromatogram (m/z 362.2115) with the one of a commercial standard of OC at different concentrations (from 0.5 to 2.5µg/mL). OC analogs were searched for in the MS2 spectra by extracting the ion at m/z 232.0757 corresponding to the (2-cyano-3,3-diphenylallylidyneoxonium) common to the fragmentation spectra of all OC-fatty acid conjugates. Whenever the ion was detected, the parent ion molecular formula and its MS2 spectrum were analyzed manually as described in Stien, et al. [19].
Our study investigated for the first time the toxicity of OC on aerobic scope of fish after dietary exposure. Only few studies have tested the effect of OC on fish development and reproduction [14,22,23].
No significant differences in AMR (p > 0.05; Figure 1a), SMR (p > 0.05; Figure 1b) and AS (p > 0.05; Figure 1c) were observed among treatments (Control and OC) after one and two months of exposure. Under these experimental conditions and at the life stage tested, trophic exposure to OC did not affect aerobic scope of this species. These results suggest that A. ocellaris would not have a reduced capacity to sustain oxygen-demanding activities such as locomotion, digestion or growth [28]. This is contrary to our initial hypothesis which stated that OC may impact both SMR and AMR. Comparison with other studies is still limited since no data on aerobic metabolism of clownfish are available and only few studies have investigated the effect of UV filters on fish.
The present results suggest that the level of contamination tested was not sufficiently extreme to induce significant variation in aerobic metabolism in our experimental conditions. OC exposure did not induce supplementary costs of maintenance due to detoxification processes in clownfish which is contrary to the initial hypotheses. The way of exposure also may not induce impairments in the mechanisms involved in metabolic regulation. It is also worth noting that organisms that suffer long-term chronic environmental stress can present physiological adaptations to maintain their aerobic metabolism and their homeostasis [43]. Chronic exposure to OC may have induced such adaptations in A. ocellaris.
Others studies on OC did not show any significant effect in environmentally relevant concentrations on zebrafish or other aquatic organisms [14,44,45]. Li, et al. [44] have tested the effect of dietary exposure to OC and mixtures of UV filters. They did not observed lethal effects on adults zebrafish fed by OC or mixture containing OC during 25 or 47 days. They observed impairment on embryo of the next. It may be interesting to study maternal transfer and trans-generation effect of UV filters.
Juvenile clown fish had 5 months during the experiments. At this age, fishes were completely developed. Further experiments on trophic exposure from larval stage could be interesting in order to detect any putative impairment on development which could later impair oxygen transport and thus aerobic metabolism.
It could be interesting to perform further experiments using a dose-response study in order to evaluate the response of the fish to higher amounts of OC intake. Due to its relative lipophilicity, OC tends to accumulate in aquatic life. For example, OC was detected in the muscle of brown trout [13], in dolphin [15], in liver of cod [5]. In the present study, OC and its metabolites were not found in clownfish white muscle and liver samples. This may be explained by the fish capacity to metabolize UV filters in more water-soluble components easier to excrete. A similar process has been described for humans [44,45]. Further investigations are still needed with OC and other UV filters using a range of different concentrations to mimic different environmental conditions, and also using different way of exposure.
OC did not impair aerobic scope of clownfish after dietary exposure. This work is the first report on the impact of OC on aerobic metabolism of fish. Despite the numerous studies on fish metabolism, it is difficult to establish a clear conclusion regarding the effect of persistent organic pollutant on fish physiology. Studies differ by the concentrations tested, the way of exposure or the organic pollutant tested. In view of the intense use of personal care products containing OC, there is an important need of ecotoxicological studies to evaluate the impact of this chemical to marine organisms.
Subscribe to our articles alerts and stay tuned.
This work is licensed under a Creative Commons Attribution 4.0 International License.

PTZ: We're glad you're here. Please click "create a new query" if you are a new visitor to our website and need further information from us.
If you are already a member of our network and need to keep track of any developments regarding a question you have already submitted, click "take me to my Query."